ASU, University of Florida
Audio By Carbonatix
A new study on how mask-wearing, lockdowns, and other measures affect the spread of the novel coronavirus provides a detailed look at how state and federal inaction costs thousands of lives.
The study was done by three mathematics experts – two from Arizona, one from Florida – and includes a number of important findings. Mask mandates and a national lockdown earlier on could have saved tens of thousands of lives, the study concludes, and stronger measures in Arizona and Florida would have prevented the current surges in those states.
It estimates that unless leaders enact stricter control measures in Arizona, the surge may slow, but will go on until it plateaus, possibly this December.
The study is titled “Could masks curtail the post-lockdown resurgence of COVID-19 in the US?” It is based on a mathematical model “for the transmission dynamics and control of the pandemic,” and has been submitted to a scientific journal where it awaits peer-reviewing and publication. The three researchers involved also worked on an earlier study, published in May, in the journal Mathematical Biosciences. That study correctly predicted that opening up too early would cause a surge in cases by July, but that a continued strict lockdown could flatten the curve, as seen in New York.
“I just hope that the decision-makers will listen to what science is saying, and avoid the catastrophic loss of lives that (potentially) lays ahead.” – Abba Gumel
The researchers are: Calistus Ngonghala, an assistant professor of Mathematical Biology at the University of Florida; Enahoro Iboi, who graduated in May with a Ph.D. in Applied Mathematics from Arizona University and who was also a 2020 Graduate Research Award recipient; and Abba Gumel, a professor at Arizona State University’s School of Mathematical and Statistical Sciences and the school’s Foundation Professor.
Their latest mathematical model of COVID-19 transmission patterns sifts through the data behind “non-pharmaceutical interventions” like social-distancing, face masks, virus testing, and contact-tracing. As the 35-page paper explains, it starts with a classic Kermack-McKendrick model. It adds in known or estimated data about symptomatic and asymptomatic spread, people recovered but not tested, people hospitalized or put in intensive care, and other factors. Confirmed COVID-19 deaths for the pre-lockdown and lockdown periods were also added from the studied geographical areas of Arizona, Florida, New York, and the United States.
Without a slower reopening and more widespread mask-wearing in Arizona than yet seen, the state’s second wave will be “devastating,” the study warns. As the model shows, it appears to have begun.
The state had recorded 651 COVID-19 deaths on the day of its official reopening on May 15, and as of Monday that macabre number had risen to 2,245. Governor Doug Ducey has been roundly criticized for failing to plan better for the current surge, and for failing to take more decisive action since it began in earnest in June. Dining in restaurants is still allowed, for example – 50 percent capacity is the rule, but enforcement is minimal. Ducey allowed local jurisdictions to create mask policies if they wanted but implemented no statewide mask rule. Gyms are closed again, but not nail salons and barbershops.
Gumel, a professor at Arizona State University’s School of Mathematical and Statistical Sciences, said the half-measures announced recently by Ducey “won’t do,” based on the research.

This chart shows models of reopening scenarios. Left to right: Arizona, Florida, New York, and the United States. The state’s actual June numbers similar to the “high” reopening, though the actual reopening has been more moderate.
Gumel / Iboi / Ngonghala
“I strongly feel that if we cannot raise the level of face mask compliance needed, (and also shut down indoor eating in restaurants…), a second lockdown here may be inevitable,” he wrote to Phoenix New Times in an email last week. “It would most likely be a question of when, and not if (I really hope I am wrong on this). The numbers we are seeing now (coupled with the fact that we are reaching a point of total breakdown of the healthcare capacity) … are alarmingly-scary. I just hope that the decision-makers will listen to what science is saying, and avoid the catastrophic loss of lives that (potentially) lays ahead.”
Significant findings of the new study (linked below) include:
* The model shows that Arizona’s level of reopening, face-mask compliance, and amount of testing and contact tracing is not optimal for reducing community spread of the virus.
* Our current spike resembles the model’s prediction for a worst-case scenario level for reopening. Under the model’s “high lifting” scenario, this surge would peak in October with more than 1,000 deaths per day. Fortunately, that doesn’t look like it will happen now, the most current data shows. The researchers believe the more moderate reopening in Arizona, combined with increasing face-mask usage, will lower the death toll and move the peak of daily deaths further out in time, possibly to December or the spring.
* More mask-wearing and state measures for a “mild” reopening, like closing indoor dining, would reduce morbidity greatly, the model shows. But the state has already blown through the cumulative death count predicted for a “mild” reopening.
* A national lockdown implemented two weeks before the earliest state locked down would have resulted in 77 percent fewer deaths from COVID-19 in the United States. As of today, the United States has recorded more than 138,000 deaths from COVID-19, far more than any other country, and is second in per-capita deaths, behind the United Kingdom but ahead of Peru.
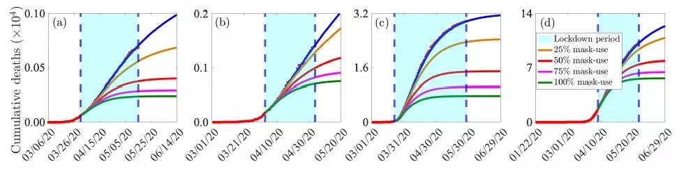
* If half of Arizonans had worn face masks during the state’s lockdown, it would have nearly halved the number of COVID-19 deaths by May 15.
The Answer Is More Masks
Gumel tells New Times that the state’s reopening “lifting level” was not actually in the model’s high-reopening category, but was more like a moderate reopening. Still, using the model to run an estimate with a high-reopening scenario shows the state would end up with 1,198 deaths on June 15. The state reported 1,194 COVID-19 deaths on June 15.
“So, our estimate is almost perfect under the high-lifting scenario,” Gumel said. “In summary, we think the second wave has already started. And if we do not get our acts together (i.e., masking, masking, and more masking), we are going to continue to be recording such rising numbers culminating in the big peak in December.”
Mask-wearing provides robust resistance to the germ’s spread, the model found, echoing previous studies. The researchers’ new model makes astounding claims about what could have been, if only the United States – or the studied states of Arizona, Florida, and New York – had seen higher levels of mask-wearing compliance. If half of Arizona residents had worn face masks during the lockdown period, “up to 47 percent” of the cumulative mortality seen by mid-May would not have occurred, the model asserts. No second wave would occur in Arizona or the other three studied areas if more than half of residents had worn face masks during the initial lockdown period. Arizona and Florida may already be experiencing their second waves, but avoiding a second wave in New York or the United States as a whole is still possible, the study shows.
High face-mask compliance plus starting the lockdown earlier also would have made a world of difference, the study shows.
“In fact, our simulations showed that the pandemic might not have even taken off significantly in any of the four jurisdictions if the community lockdown measures were implemented two weeks earlier and most people in the jurisdictions wear face masks during the lockdown,” the study states.
The researchers estimated that mask compliance was between 14-17 percent of Arizona residents during the lockdown.
“In other words, even during lockdown, our face-masks compliance was very low,” Gumel said. “I think we got even lower after the lockdown measures were partially lifted on May 14 (but it is fair to say that the face masks ordinance announced by our major cities will certainly greatly improve the compliance…. at least I hope so). We do not have the estimates for compliance at the current moment.”
More contact tracing would also bring infections down, the study shows, but effective tracing can’t be done until the state brings its infection rate numbers down.
Asked for comment on the study’s findings, Patrick Ptak, spokesman for Governor Ducey, reiterated the governor’s call for people to wear more masks and defended the lack of a state mandate.
“Our approach is not about compliance,” Ptak said. “Any mandate is only as good as the compliance.”
Many local jurisdictions took Ducey up on his decision to let them make their own mask policies, he said. Adding up the jurisdictions, “they represent at least 75 percent of the state with mask compliance,” Ptak said.
The governor’s office wasn’t aware of any current estimate of actual mask compliance, Ptak added in response to a follow-up question. But people are “taking it much more seriously,” he said.
When Will the Surge Peak?
No clear answer exists yet for when the current surge will peak, and timeframes could change based on new government measures and public behaviors. The state Department of Health Services did not respond to messages on Tuesday.
The latest report from Dr. Joe Gerald of the Mel and Enid Zuckerman College of Public Health at the University of Arizona, dated July 3, indicates that the case count will keep rising for at least three weeks.
ASU’s Biodesign Institute website shows a continually rising line of actual deaths relative to cases over time, but doesn’t project into the future.
Covid Act Now, an aggregate site by a consortium of scientists in partnership with Georgetown and Stanford universities, predicts that with some measures in place, Arizona is unlikely to overload its hospitals by August 13 – but also estimates that the state will have recorded about 8,000 deaths by then. Thirty-two percent of the population would have been infected at that point, the site says.
The Institute for Health Metrics and Evaluation website charts indicate that the daily death rate could peak in the next few days. It could drop steeply in the coming weeks with “universal masks” worn, though that’s not realistic.
Meanwhile, a new data site from Harvard University updated on July 10 shows Arizona is one of eight states at what it calls the “tipping point,” in which a new stay-at-home ordered is needed immediately. On a moving seven-day average, Arizona has 47.9 new cases per 100,000 people, the site says. Maricopa County has 56.9. To get to Harvard’s orange risk level, which may still include a stay-at-home order, the rate would have to drop to 25 or fewer new cases per day, on average.
Will Humble, executive director for the Arizona Public Health Association, agreed that the actual surge peak could still be weeks or months out, depending on what the state does next.
“It depends both on the policy decision the governor makes and the administrative things that the health department gets done,” he said.
Humble noted that compliance and enforcement plans even for the current restrictions don’t seem to be in place, and most tests for COVID-19 in Arizona still take too long to give a result to make contact tracing effective.
Below, a PDF link to the study.

What could have been? A model of potential mask usage. Left to right is: Arizona, Florida, New York, and the United States. Actual mask usage in Arizona during the lockdown was estimated at 14 percent in the study.
Left to right: Arizona, Florida, New York, and the United States.